Usaha Membentuk Persekutuan Malaysia Sejarah Tingkatan 5

Huraikan sejarah pembentukan malaysia dan menghubungkaitkannya dengan kegemilangan negara kita pada hari ini.
Usaha membentuk persekutuan malaysia sejarah tingkatan 5. Dato onn 1956 cadang persekutuan tanah melayu yang merdeka dinamai malaysia kerana menurutnya britsh. Langkah langkah dalam membentuk negara malaysia. Orang melayu berjaya memujuk dan mendesak british menghidupkan semula dasar perlindungan 4. Berikut dikongsikan isi isi penting dan contoh soalan beserta jawapan yang merujuk kepada bab 6 subjek sejarah tingkatan 5.
Bagi mewajarkan kemasukan sarawak dan sabah kedalam persekutuan malaysia. Mereka tidak yakin untuk membentuk pemerintahan se ndiri. Skema jawapan kertas 3 sejarah tingkatan 5 bab 6 panduan buat pelajar spm yang sedang mengulangkaji pelajaran sejarah berikut dikongsikan skema jawapan pengukuhan negara dan bangsa malaysia untuk panduan dan rujukan pelajar dalam menjawab sejarah kertas 3 spm spmu. Nota sejarah tingkatan 5 bab 5 pembinaan negara dan bangsa yang merdeka.
4 negara malaysia dibentuk atas semangat permuafakatan dan proses perundingan dalam kalangan semua pihak yang terlibat sebagai warganegara yang patriotik terangkan usaha usaha yang boleh anda lakukan bagi mewujudkan perpaduan kaum dalam kalangan rakyat malaysia. Lim yew hock david. Nota sejarah tingkatan 5 bab 5 5 1 sistem ahli. Namun sekiranya sabah dan sarawak berusaha untuk mencapai kemerdekaan secara berasingan dijangkakan kemungkinan yang besar bahawa kemerdekaan itu tidak akan digapai biarpun dalam tempoh lima tahun ataupun sebaliknya oleh mereka.
149 152. Soalan kertas 3 tingkatan 5 bab 6. Membincangkan hak dan kepentingan penduduk sabah dan sarawak. Sejarah tingkatan 5 bab 6.
Rakyat persekutuan tanah melayu melihat persekutuan malaysia sebagai usaha murni untuk membantu dan memimpin negeri negeri anggota. Pengukuhan negara dan bangsa malaysia thursday 19 june 2014. Ketegasan orang melayu di bawah pimpinan dato onn menggagalkan m u 2. A faktor pembentukan persekutuan tanah melayu 1948 1.
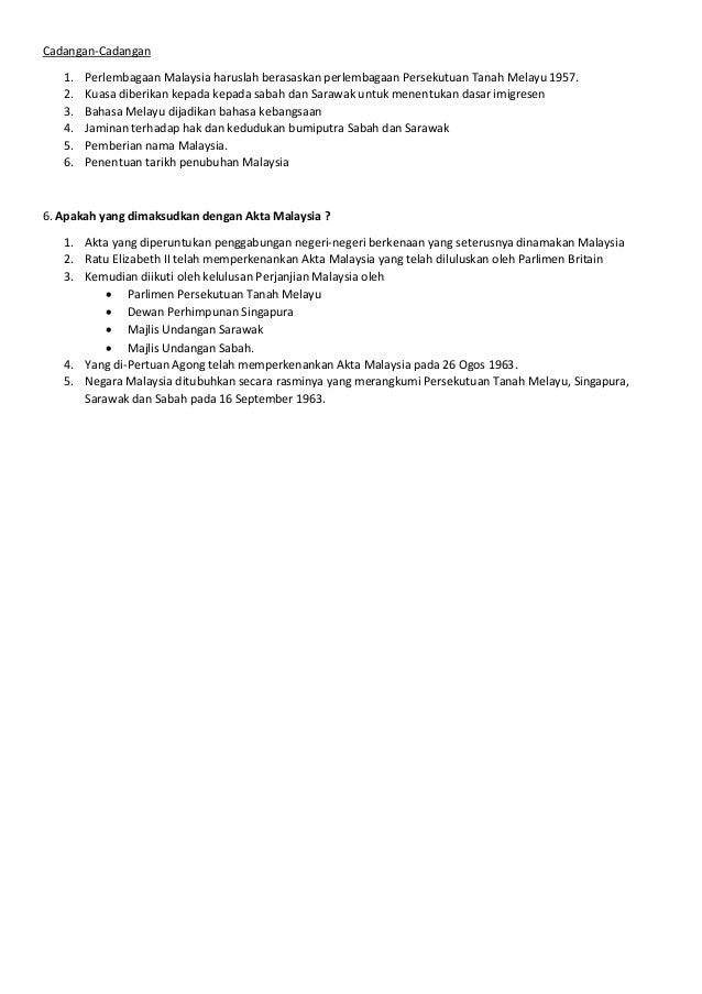
Dalam perancangan merealisasikan persekutuan malaysia persekutuan malaysia dijangka akan ditubuhkan dalam tempoh dua tahun. Menerangkan konsep tujuan dan matlamat penubuhan malaysia. A maksud sistem ahli. Sejarah tingkatan 5 t5b6 nota bab 6.
Perpaduan orang melayu yang terdiri daripada golongan raja dan rakyat 3. Nota sejarah tingkatan 5 bab 6. Langkah langkah pembentukan malaysia. Senaraikan kronologi usaha usaha ke arah pembentukan malaysia ms.
Sarawak sabah singapura brunei negeri selat persekutuan tanah melayu. Tunku abdul rahman mengadakan lawatan ke sarawak sabah dan brunei.